全球合成高分子材料产量的日益增长,以及使用后处理方式的匮乏,造成了严重环境和经济问题,这使得创建可持续的塑料经济变得至关重要。与通常会导致材料性能恶化的机械回收相比,开发具有闭合生命周期的化学可回收聚合物被认为是创建可持续塑料经济最具吸引力的策略。
化工学院沈勇/李志波团队在之前的工作中,通过高效的化学手段,利用并环化合物实现聚(3-羟基丁酸酯)(P3HB)的升级回收将P3HB转化为了具有并环结构的可闭合回收聚醚酯(ACS Sustain. Chem. Eng. 2022, 10, 8228-8238.)。进一步将P3HB转化为光学纯双环醚酯单体,实现其可控开环聚合得到了立构规整、高熔点、可闭合循环的新型聚醚酯材料,尽管取得了进展,但是由于聚合物刚性的主链和高缠结摩尔质量仍表现出较差的力学性能(Angew. Chem. Int. Ed. 2023, e202302101)。因此,探索可循环聚醚酯的闭合回收,以及进一步研究立体构型和取代基对其热性质和力学性能的影响仍然具有科学意义。

在前期工作的基础上,该团队尝试使用不同单取代环氧化合物来制备聚醚酯,利用环氧化合物侧基的电子效应,实现环氧化合物的区域选择性开环,并制备出互为非对映异构体的氧杂环内酯单体。利用MeAl[salen]/BnOH催化体系实现了单体“活性”/可控的开环聚合,制备出端基结构和分子量可控、窄分布的聚醚酯。
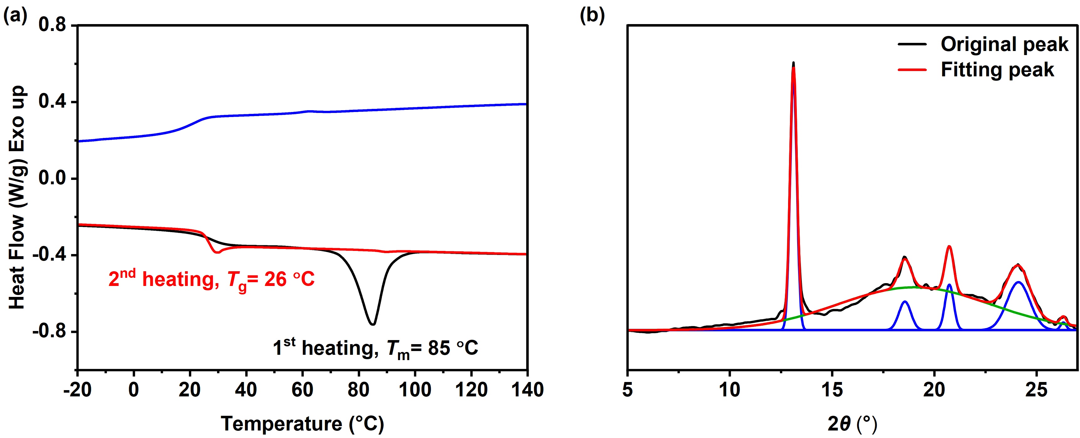
这项工作揭示了取代基的手性构型对单体开环聚合热力学与动力学以及聚合物热性质的影响。受取代基手性构型的影响,SR-M1具有比RR-M2更高的聚合活性和更低的聚合上限温度,两种单体的聚合物也具有不同的热性质,P(SR-M1)为玻璃化转变温度在19 °C的无定形聚合物,而P(RR-M2)为结晶度34 %熔点在85 °C的半结晶聚合物,其熔融温度与商品化聚苯乙烯的玻璃化转变温度类似(Tg, 80~105°C)。



在力学性能的测试中,P(RR-M2)表现为一种坚韧的热塑性材料。样品的拉伸强度、断裂伸长率和杨氏模量分别达到了σb= 7.9 ± 0.7 MPa、εb= 170 ± 20 %和Ey= 375 ± 6 MPa。通过继续提高分子量和结晶度,有望进一步提高P(RR-M2)的机械性能。
最后,作者利用辛酸亚锡实现聚醚酯的解聚回收,回收后的单体保持原有的手性构型,并且可以再次聚合为与原聚合物分子量相近的聚合物。

这项工作进一步完善了生物基塑料P3HB的高效升级循环策略,制备得到了立构规整、具有力学性能、可闭合循环的新型聚醚酯材料,同时揭示了手性构型对氧杂环内酯开环聚合以及聚合物性质的影响,为开发新型可持续材料提供了重要的理论基础。
该工作以研究论文的形式在线发表于Macromolecules(2023, 56, 6019-6026.)。化工学院研究生赵东方为论文的第一作者,沈勇教授和李志波教授为论文的通讯作者。该研究得到了国家自然科学基金和国家重点研发计划项目的资助。
原文链接:https://doi.org/10.1021/acs.macromol.3c01027